10.Sınıf Matematik Çarpanlara Ayırma Testleri 4
10.Sınıf Matematik Çarpanlara Ayırma Testleri
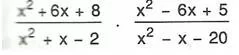
10.Sınıf Matematik Çarpanlara Ayırma Testi Çöz
Tebrikler - 10.Sınıf Matematik Çarpanlara Ayırma Testleri adlı sınavı başarıyla tamamladınız.
Sizin aldığınız skor %%SCORE%% en yüksek skor %%TOTAL%%.
Hakkınızdaki düşüncemiz %%RATING%%
Yanıtlarınız aşağıdaki gibidir.




sorular ı cok güzel
çok güzel bir site