11.Sınıf Matematik Tümevarım Testleri 3
11.Sınıf Matematik Tümevarım Testleri 3
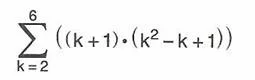
11.Sınıf Matematik Tümevarım 3 Testi Çöz
Tebrikler - 11.Sınıf Matematik Tümevarım Testleri 3 adlı sınavı başarıyla tamamladınız.
Sizin aldığınız skor %%SCORE%% en yüksek skor %%TOTAL%%.
Hakkınızdaki düşüncemiz %%RATING%%
Yanıtlarınız aşağıdaki gibidir.



