8.Sınıf Matematik Denklem Sistemleri Problemleri
8.Sınıf Matematik Denklem Sistemleri Testi 6
Başla
Tebrikler - 8.Sınıf Matematik Denklem Sistemleri Testi 6 adlı sınavı başarıyla tamamladınız.
Sizin aldığınız skor %%SCORE%% en yüksek skor %%TOTAL%%.
Hakkınızdaki düşüncemiz %%RATING%%
Yanıtlarınız aşağıdaki gibidir.
Soru 1 |
4x - y = 6 ve 6y + 2z = 5 ve x + 3z = 9 olduğuna göre x + y + z kaçtır?
A | 3 |
B | 4 |
C | 5 |
D | 6 |
Soru 2 |
ax + 3 = x + b eşitliğini sağlayan x değeri aşağıdakilerden hangisidir?
A | b+3 / a-1 |
B | b-3 / a+1 |
C | b+3 / a+1 |
D | b-3 / a-1 |
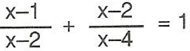
Soru 5 |


A | A |
B | B |
C | C |
D | D |
Soru 6 |
2x - 3 (2x + 5) = -4x - 3 (x + 2) denkleminin çözüm kümesi aşağıdakilerden hangisidir?
A | {1} |
B | {2} |
C | {3} |
D | {4} |
Soru 9 |
x+y = 5 ve x – 2y= -1 denkleminin çözüm kümesi aşağıdakilerden hangisidir?
A | {(2, 3)} |
B | {(3, 2)} |
C | {(-3, -2)} |
D | {(-2, -3)} |
Soru 10 |

A | 270 |
B | 260 |
C | 240 |
D | 220 |
Sınavı tamamlamak için butona tıklayınız, yanlışlarınız gösterilecektir. Sonuçları al.
10 tamamladınız.
← |
Liste |
→ |
Geri dön
Tamamlananlar işaretlendi.
1 | 2 | 3 | 4 | 5 |
6 | 7 | 8 | 9 | 10 |
Son |
Geri dön
Başarıyla tamamladınız.
sorular
soru
Aldığınız skor
Doğru
Yanlış
Partial-Credit
Sınavı henüz tamamlamadınız. Eğer sayfadan ayrılırsanız, verdiğiniz yanıtlar kaybolacak!
Correct Answer
You Selected
Not Attempted
Final Score on Quiz
Attempted Questions Correct
Attempted Questions Wrong
Questions Not Attempted
Total Questions on Quiz
Question Details
Results
Date
Score
İpucu
Time allowed
minutes
seconds
Time used
Answer Choice(s) Selected
Question Text
Sona erdi
Daha çok pratiğe ihtiyaç var
Böyle devam et
Kötü değil
İyi çalışıyor
Mükemmel