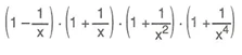
8.Sınıf Matematik Rasyonel İfadeler Problemleri
8.Sınıf Matematik Rasyonel İfadeler Testi 6
Tebrikler - 8.Sınıf Matematik Rasyonel İfadeler Testi 6 adlı sınavı başarıyla tamamladınız. Sizin aldığınız skor %%SCORE%% en yüksek skor %%TOTAL%%. Hakkınızdaki düşüncemiz %%RATING%%
Yanıtlarınız aşağıdaki gibidir.



