Tebrikler - Ygs Matematik İşlem Yeteneği Testleri 2 adlı sınavı başarıyla tamamladınız. Sizin aldığınız skor %%SCORE%% en yüksek skor %%TOTAL%%. Hakkınızdaki düşüncemiz %%RATING%%
Yanıtlarınız aşağıdaki gibidir.
Soru 1
12:[4-(-2):(-1)] İşleminin sonucu kaçtır?
A
2
B
4
C
6
D
8
E
10
Soru 2
6-[-4-(-2-(-3))] İşleminin sonucu kaçtır?
A
10
B
11
C
9
D
5
E
3
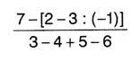
Soru 3
İşleminin sonucu kaçtır?
A
3
B
2
C
1
D
0
E
-1
Soru 4
14-(-2)-[(-3)-4] İşleminin sonucu kaçtır?
A
5
B
7
C
9
D
11
E
23
Soru 5
10 : (-4)+5(-2)-5: (-2) İşleminin sonucu kaçtır?
A
-10
B
-5
C
0
D
5
E
2
Soru 6
-4-[-4-(-4-4)] İşleminin sonucu kaçtır?
A
-8
B
-4
C
0
D
4
E
2
Soru 7
6-[2-(3-5)-(9-13)]-2 İşleminin sonucu kaçtır?
A
-4
B
-3
C
-2
D
1
E
3
Soru 8
İşleminin sonucu kaçtır?
A
90
B
30
C
10
D
5
E
1
Soru 9
1010:10-4.13+5(-10) İşleminin sonucu kaçtır?
A
-2
B
-1
C
0
D
1
E
2
Soru 10
2-[2-(2-(-2))]: (-2) İşleminin sonucu kaçtır?
A
-1
B
0
C
1
D
2
E
3
Sınavı tamamlamak için butona tıklayınız, yanlışlarınız gösterilecektir. Sonuçları al.
10 tamamladınız.
←
Liste
→
Geri dön
Tamamlananlar işaretlendi.
1
2
3
4
5
6
7
8
9
10
Son
Geri dön
Başarıyla tamamladınız.
sorular
soru
Aldığınız skor
Doğru
Yanlış
Partial-Credit
Sınavı henüz tamamlamadınız. Eğer sayfadan ayrılırsanız, verdiğiniz yanıtlar kaybolacak!